
弊社事業開発室の社員が 2025年12月11日(木)~12日(金)開催のSamuraiDX 2025 冬に登壇します!どなたでも参加・...

DeepSeekとは、中国の企業が開発したLLMのことです。ブラウザ版やアプリ版は無料で使うことができ、APIも他のAIと比べ低価格での利用が可能です。高性能な点も特徴で、コンテンツやプログラミングコードの生成、翻訳などさまざまなシーンで役立つでしょう。
本記事では、DeepSeekの概要と特徴や使い方、他のAIとの違いについて詳しく解説します。DeepSeekについて知りたい方、利用を検討している方は、ぜひ参考にしてください。
目次

DeepSeek(ディープシーク)は、中国のAIスタートアップ企業であるDeepSeek社が開発したLLMです。LLM(大規模言語モデル)とは、膨大な量の文章データを学習し、人間の言葉を高度に理解して新しい文章を作り出せるAI技術のことです。従来の言語モデルと比べて、「計算量」「データ量」「パラメータ数」を大幅に増やすことで、より自然で高度な言語処理を実現しています。
ここからは以下について解説します。
なお、LLMの詳細を知りたい方は以下をご覧ください。
⇒LLM(大規模言語モデル)とは?仕組みや活用事例、今後の展望を徹底解説
DeepSeekの活用方法には、ブラウザ・アプリケーションにより単体で活用する方法とAPIを通じて利用する方法の主に2つがあります。ブラウザ・アプリなど単体で活用する場合は無料です。APIを用いて開発を行う場合はトークン数に応じた従量課金制となっており、以下の通りです。
| モデル | 入力 | 出力 |
|---|---|---|
| deepseek-chat | 100万トークン/0.27ドル | 100万トークン/1.1ドル |
| deepseek-reasoner | 100万トークン/0.55ドル | 100万トークン/2.19ドル |
英語の場合1トークンはだいたい1単語で、日本語の場合ひらがな1文字1~2トークン・漢字1~3トークン程度に相当します。
2025年1月27日にDeepSeekショックが起き話題となりました。DeepSeekショックとは、以下をきっかけにアメリカの株式市場においてハイテク株が下落した出来事のことです。
GPUの需要が減るのではないかという懸念から、NVIDIA社の株価も急落して、一時は時価総額で約6,000億ドル(約92兆円)もの価値が一気に失われました。

DeepSeekの主な特徴は以下の6つです。
ここからは、上記それぞれの特徴について解説します。
DeepSeekにおける特徴の一つは、圧倒的なスケールです。低コストで開発されていながら、約6,710億の膨大なパラメータと約14.8兆トークンの学習データでトレーニングされています。パラメータとは、AIモデルが学習中に最適化する必要のある変数の数のことです。変数はモデルが入力データを処理して、予測や生成を行うときに用いられます。
パラメータ数が多くなれば、高度な特徴抽出や表現学習が可能で、複雑なタスクへも対応できるようになります。また、より大規模なデータセットの学習が実現するため、汎化性能の高いAIモデルの開発が可能です。
圧倒的なスケールを誇るDeepSeekには、以下の多彩な機能が実装されています。
また、ただ機能が使えるだけでなく多くのテストで優秀な成果を納めているため、業務効率化などに役立ちます。
マルチモーダルへの対応もDeepSeekの特徴です。マルチモーダルとはテキストや画像、音声など異なる複数の情報形式を同時に処理して、統合的に分析する能力のことです。例えば、テキストのみなど特定のデータ形式にしか対応していないものと比べ、複雑で多面的な分析や情報の相互作用から新たな知見の発見が可能です。
なお、マルチモーダルについての詳細は以下をご覧ください。
⇒【マルチモーダルAIとは】概要から特徴や活用事例まで詳しく紹介
DeepSeekにおける最大の目標はAI技術の民主化です。AIに関するテクノロジーが一部の企業に独占されるのではなく、多くの技術者・開発者がアクセスできる環境を目指しているため、DeepSeekはオープンソース化されています。
また、DeepSeek社はAGIの開発も目指しています。AGI(汎用人工知能)とは、人間と同様かそれ以上の知的能力を有するAIのことです。現存するAIは画像生成や自然言語処理など特定の分野におけるタスク処理に特化している一方、AGIは多様な問題や未知の課題にも柔軟に対処できます。多くの企業が開発を行っているAGIですが、未だ実現には至っていません。
AGIの詳細は以下をご覧ください。
⇒AGI(汎用人工知能)とは?できることやAI・ASIとの違い、開発の現状と未来を解説
リリース当初のバージョンは中国語や英語が中心となっておりましたが、最近のバージョンでは日本語対応も行われています。ブラウザやアプリも日本語対応しているため、中国語・英語に堪能でない方でもDeepSeekを活用できるでしょう。
DeepSeekは、iOS版・Android版のスマートフォンアプリがリリースされています。バージョン1.0.4から日本語にも完全対応してます。利用手順は以下の通りです。

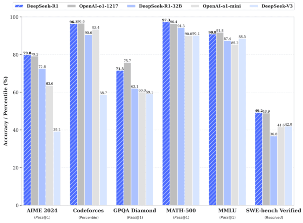
DeepSeekは推論や数学、コーディングなどのベンチマークにおいて高い成果が報告されています。以下はDeepSeek社が発表したテスト結果です。

上記によれば、OpenAI社のo1と比べても遜色ない結果となっています。
他のAIとDeepSeekの主な特徴の違いは以下の通りです。
| DeepSeek R1 | OpenAI o1 | Gemini 1.5 Pro | Claude Sonnet 3.5 | |
|---|---|---|---|---|
| 開発企業名 | DeepSeek | OpenAI | Anthropic | |
| 100万トークンあたりの利用料 | 入力0.55ドル/出力2.19ドル | 入力15ドル/出力60ドル | 無料 | 入力3ドル/出力15ドル |
| マルチモーダル対応 | 〇 | 〇 | 〇 | 〇 |
| 日本語対応 | 高評価 | 最高水準 | 普通 | 普通 |
| 特徴 | 安価かつ高性能、オープンソース | 高性能である一方、価格が高い | Googleのサービスと連携可能 | 長文処理に長けている |
Geminiの詳細を知りたい方は以下をご覧ください。
⇒Gemini(ジェミニ)とは?特徴や使い方、活用事例を解説

続いて、DeepSeekの使い方を以下に分けて解説します。
DeepSeekを活用するには、以下の手順で登録する必要があります。
公式Webサイトにアクセスした際中国語が使われていたら、右上のEnglishをクリックすると英語に切り替わります。
DeepSeekの利用方法は非常に簡単です。具体的には以下の通りです。
DeepSeekはチャットボットAIとしてだけでなく、Web検索にも活用できます。具体的な手順は以下の通りです。
検索結果には参照元も記載されます。

DeepSeekはさまざまなシーンで活用できます。ここからは、以下の活用例を紹介します。
DeepSeekの代表的な活用方法はテキスト生成です。以下で利用できます。
コンテンツやドキュメント制作に関する業務を効率化できるでしょう。
使い方の章で解説した通り、Web検索機能が実装されているDeepSeekは情報収集には活用可能です。参照元が記載される機能もあり、情報が正しいかの確認をしやすいでしょう。
DeepSeekはデータ分析にも役立ちます。市場のトレンド分析や過去のデータを基にした将来動向予測が可能です。ただ、入力データの学習や流出の恐れがあるため、インプットする情報は慎重に選びましょう。
質問に対する自動応答にもDeepSeekを活用可能です。顧客や従業員からの質問に対応する手間が減るため、業務効率化に役立ちます。また、良くある質問をまとめたFAQの作成にも有効です。
多言語に対応しているDeepSeekは翻訳ツールとしても利用できます。リアルタイム翻訳やドキュメント翻訳など、さまざまなシーンで役立つでしょう。

便利なDeepSeekですが、利用にあたり以下の注意点が存在します。
最後に、上記注意点について解説します。
DeepSeekでは、特定の政治的話題に関する回答の規制が行われていることが報告されています。具体的には、天安門事件に関する質問への回答や、習近平政権を批判するようなトピックを避ける傾向があります。生成されるコンテンツ内容への規制が行われれば、DeepSeekから得られる情報に偏りが発生する可能性があるでしょう。
また、DeepSeekも他の生成AI同様、アウトプットデータに誤りが含まれる恐れがあります。DeepSeekから情報収集する際には、情報源を確認して裏付けを取ると良いでしょう。
DeepSeekには、技術や国家安全保障リスクがあることが、いくつかのレポートで指摘されています。具体的には以下が挙げられます。
| 種類 | 概要 |
|---|---|
| セキュリティリスク | ブラウザ版において、通常は非公開にすべきログやAPIキー、チャット履歴などが保存されたデータベースが公開されていた。 モバイルアプリ版では、機密データが暗号化されていなかったり、暗号化されていても容易に解読できる方法が採用されていたりした。 |
| 回答に関するリスク | ランサムウェアの開発や違法薬物・爆弾装置の作成方法など、犯罪に利用される情報が生成された。 |
| 国家安全保障リスク | ユーザー情報が中国の法律で管理されており、中国政府がデータにアクセスできる可能性やコンプライアンスのリスクがある。 |
参照:Wiz Researchが、チャット履歴などの機密情報を漏洩しているDeepSeekデータベースの公開を発見|Wiz Research
NowSecureは、DeepSeek iOSモバイルアプリの複数のセキュリティとプライバシーの欠陥を明らかにします|NowSecure
DeepSeek R1を暴く: 中国製AIモデルにセキュリティホール|KELA
DeepSeekも含めAIは、ディープラーニングなどの事前学習により開発される仕組みが取られています。ディープラーニングとは、人間の手を介さずにコンピューターやシステムが膨大なデータを学習する技術のことです。
DeepSeekは学習データの詳細が明かされておらず、不透明な状態です。事前学習の内容によっては、他者の権利を侵害する恐れがあり、信頼性の問題が指摘されています。また、GPTモデルを蒸留(知識を圧縮・転移する技術)している疑惑も存在します。商用利用を予定している場合には、慎重な検討が必要です。
なお、ディープラーニングの詳細は以下をご覧ください。
⇒ディープラーニング(深層学習)とは?機械学習との違いや活用・導入方法と事例を解説

DeepSeekは、中国のAIスタートアップ企業であるDeepSeek社が開発したLLMです。ブラウザ版やアプリ版は無料で、APIも他のAIと比べ低価格で利用できます。OpenAI o1と比較しても遜色ない高性能な特徴もあり、さまざまなシーンで役立つでしょう。ただ、セキュリティや国家安全保障に関するリスクなどが存在するため、利用時には注意が必要です。
近年は、AIをはじめ多くのテクノロジーが生まれています。上手な活用は、人手不足の解消や企業競争力に役立つ業務効率化に有効です。AIなどのツールも上手く活用して、業務効率化を実現しましょう。
